Principio de paridad de género como garantía constitucional de los derechos de participación de la mujer.

Principle of gender parity as a constitutional guarantee of women´s participation rights.

Autoras:

*Itaty Gemmay Cedeño Zambrano. https://orcid.org/0000-0003-0454-9351

Abogada, exestudiante de la carrera de Derecho en la Universidad Laica Eloy Alfaro de Manabí, ULEAM;

e1313915793@live.uleam.edu.ec / gemmay_99@outlook.es

Guayaquil, Ecuador.

 

*Sonia Margarita Barcia Rodríguez. https://orcid.org/0000-0002-0848-6178

Abogada y docente de la carrera de Derecho en la Universidad Laica Eloy Alfaro de Manabí, ULEAM;

sonia.barcia@uleam.edu.ec

Manta, Ecuador.

 

Resumen:

En este artículo se visibiliza la evolución de la paridad de género en el marco normativo ecuatoriano y el impacto de esta figura jurídica en la consolidación de una democracia paritaria, estatuida como una garantía constitucional conlleva a que el sistema electoral y los planes, programas y proyectos que se ajusten a este, aseguren a la mujer el pleno reconocimiento, acceso, desarrollo y goce de su derecho de participación, mediante un proceso de selección paritaria sin barreras estructurales que limiten su efectividad, entre ellas se expone a la violencia política de género. Se realiza un análisis teórico pragmático para evaluar la efectividad de la paridad de género, enfatizando en la importancia de sus elementos constitutivos y la manera de aplicarla en los procesos electorales para lo cual se toma como muestra el efectuado en el 2021.

Palabras Claves:

Paridad de género; derechos de participación; democracia paritaria.

 

Abstract:

This article makes visible the evolution of gender parity in the Ecuadorian regulatory framework and the impact of this legal figure on the consolidation of a parity democracy, established as a constitutional guarantee, leads to the electoral system and plans, programs and projects that conform to this, ensure women full recognition, access, development and enjoyment of their right to participation, through a process of equal selection without structural barriers that limit their effectiveness, including exposure to political gender violence. A pragmatic theoretical analysis is carried out to evaluate the effectiveness of gender parity, emphasizing the importance of its constituent elements and the way to apply it in electoral processes, for which the one carried out in 2021 is taken as a sample.

Key Words:

Gender parity; participation rights; parity democracy.


Introducción:

La paridad de género como figura legal en la legislación ecuatoriana surge como parte de los propósitos intergubernamentales en materia de género y la necesidad imperiosa de una configuración integral al ordenamiento jurídico, esto con de aplicación normativas internacionales que reconocen a la mujer como un sujeto pleno de derechos de participación en igualdad de oportunidades.

Ésta, como garantía constitucional propone visibilizar cambios puntuales sobre la exclusión estructural que durante años ha imposibilitado el acceso a la participación y representación política por parte de las mujeres, puesto que, la política como plataforma abierta de participación ciudadana ha sido escenario de diversas manifestaciones de violencia por razón de género, entreviendo aspectos influyentes en la obstrucción de la democracia paritaria. La realización de la presente investigación se desprende implícitamente de los desafíos jurídicos, sociales, culturales y políticos que circundan la efectividad de la paridad de género y que resultan de relevante interés para el Estado y la sociedad ecuatoriana en general.

Como primer enfoque se exponen los antecedentes y fundamentos de la paridad de género, los cuales permiten conocer de forma específica el sustento de la normativa legal para promover el acceso a una participación efectiva mediante la protección constitucional de los derechos. En otro aspecto, se determina la pertinencia de la paridad de género en los diferentes cuerpos legales y su correlación con la norma suprema.

Se expone además, cuáles son los recursos jurídicos que poseen las mujeres para justiciar sus derechos de participación en situaciones de vulneración o trasgresión, y se finaliza con el objetivo general de la investigación que es analizar el principio de paridad de género como garantía constitucional en el cumplimiento formal y material de los derechos de participación de la mujer a través de la revisión de datos sobre el periodo electoral 2021.

 

Materiales y métodos

Este trabajo de investigación se realizó mediante una sinergia entre las metodologías descriptivas e interpretativas con la finalidad de exponer conceptualizaciones, evolución y avances de la paridad de género, todo esto sustentado en datos estadísticos susceptibles a interpretación, a propósito de medir su materialidad.

Fue imprescindible acudir a variadas fuentes bibliográficas para obtener información de los ejes temáticos principales de la investigación e interpretar con el uso de la hermenéutica los aspectos relevantes de los cuerpos legales que fueron modificados y/o adaptados para lograr el reconocimiento formal de la paridad de género como garantía constitucional. El método histórico permitió conocer y exponer la evolución de las normas que fueron la antesala para consolidar esta figura dentro del ordenamiento jurídico vigente. El método analítico, permitió el análisis y desarrollo de los componentes teóricos propuestos. La investigación implicó también la unificación de los métodos cualitativo y cuantitativo para el respectivo reconocimiento de las características del objeto central de la pesquisa, así como la interpretación de los datos numéricos referente a los resultados del periodo electoral 2021. Posterior a ello, el método estadístico permitió el tratamiento de estos datos con la finalidad de generar resultados porcentuales conforme al cumplimiento de la paridad de género en el sistema electoral.

Marco Teórico

Principio de paridad de género como garantía constitucional de los derechos de participación de la mujer.

Para generar una acepción particular sobre la participación de las mujeres y su relación con la paridad de género en el contexto político, se puede expresar tal como lo indica Flasser (2007) que “la participación social y política de las mujeres ha sido y es considerada como una estrategia central en la construcción de la equidad de género y la profundización de la democracia” (p.379).

Continuamente para las mujeres ha sido un reto interminable sostener las luchas en pro del reconocimiento de sus derechos, la apertura de oportunidades en igualdad de condiciones que durante muchos años fueron nulas, invalidar la tendencia ideológica de las masas sociales que menoscaban sus capacidades y habilidades basada en preceptos y prejuicios, propensos a contextualizar que la política entre otros espacios públicos eran exclusivamente masculinos, imposibilitando la participación diligente y activa del género femenino. 

Se trata de una construcción cultural, en donde los agentes de socialización primarios (familia, amigos) y/o secundarios (medios de comunicación de masas) tienen un papel clave como fuentes de formación y reproducción de estereotipos. Todas estas construcciones no son inocentes dado que tienen consecuencias directas en la valoración del liderazgo y, por tanto, en las decisiones, preferencias y prejuicios de los individuos. (Freidenberg, 2018, pág. 90)

La realidad política de las mujeres ha consagrado una larga historia de exclusión durante toda la trayectoria del Ecuador como República, esto se evidencia principalmente por la ausencia de gobernantes presidenciales mujeres y la prominencia de gobernantes masculinos durante 192 años.  La participación política de la mujer actual conmemora un proceso auténtico de transformaciones jurídicas que han tenido lugar en el cambio de concepciones ideológicas en los que se ha pretendido resaltar a la mujer como sujeto pleno de derechos.

Desde 1929 bajo la presidencia de Isidro Ayora se le concede a la mujer el derecho universal al voto, empieza para el conglomerado femenino la apertura a concatenadas reformas positivas desde un enfoque inclusivo de género y conciencia social que permitió el surgimiento de nuevos espacios en los que la mujer podía acceder y participar.

“Las constantes movilizaciones y lucha de los colectivos de mujeres han permitido que su participación en la esfera política en Ecuador haya aumentado paulatinamente en las últimas décadas” (Ríos, 2018, pág. 10).  Con esta cita se refuerza que son las manifestaciones sociales las que infunden la sensibilización de las leyes y conllevan a los gobiernos a asentar su política bajo los requerimientos de las masas.

El derecho de participación de las mujeres ha mutado, actualmente ya no se limita exclusivamente a la facultad de votar sino que tal como lo señala la Constitución de la República del Ecuador[1] (en adelante “CRE”) se ha expandido a diversas aristas que permiten hacer efectivos los derechos políticos en su conjunto:

Derechos de participación

Art. 61.- Las ecuatorianas y ecuatorianos gozan de los siguientes derechos:

1. Elegir y ser elegidos.

2. Participar en los asuntos de interés público.

3. Presentar proyectos de iniciativa popular normativa.

4. Ser consultados.

5. Fiscalizar los actos del poder público.

6. Revocar el mandato que hayan conferido a las autoridades de elección popular.

7. Desempeñar empleos y funciones públicas con base en méritos y capacidades, y en un sistema de selección y designación transparente, incluyente, equitativo, pluralista y democrático, que garantice su participación, con criterios de equidad y paridad de género, igualdad de oportunidades para las personas con discapacidad y participación intergeneracional.

8. Conformar partidos y movimientos políticos, afiliarse o desafiliarse libremente de ellos y participar en todas las decisiones que éstos adopten.

De forma que, si la participación se expresa en el marco jurídico del Estado es importante reconocer si ésta tiende a ser efectiva y si posee impacto en la consolidación y progresividad de los derechos, en este caso, “la participación y el liderazgo de las mujeres en la política y la vida pública en pie de igualdad son fundamentales para alcanzar los Objetivos de Desarrollo Sostenible antes del 2030” (ONU MUJERES, 2021).

Ecuador fue el primer Estado latinoamericano que introdujo la paridad de género en sus textos legales, figura que se implementó acorde a la determinación de fomentar la participación de las mujeres a fin de alcanzar una democracia paritaria. Este último término fue acuñado por primera vez en la Constitución de Francia de 1998 la cual propone un “Estado inclusivo que garantiza la igualdad sustantiva para el buen gobierno y el desarrollo sostenible” (Tula, 2017, pág. 10).

            El Consejo Nacional para la Igualdad de Género y el Consejo Nacional Electoral (2020) establecieron que: “la paridad de género básicamente es un concepto que implica el logro de la igualdad real y material entre hombres y mujeres en la participación política y representación en puestos de toma de decisiones” (p.12). Esto sostiene un equilibrio real para acceder al poder público en igualdad de oportunidades puesto que, supone cuantitativamente la misma cantidad de representantes hombres y mujeres, es decir que, con observancia de este principio no puede existir un género que posea primacía o preferencia relativo al otro.

            Desde la última década del siglo pasado, con la finalidad de adquirir la citada equidad real se introducen en la legislación ecuatoriana medidas de acción afirmativa con las cuales se pretendió efectivizar los derechos de las mujeres en el espacio político y con ello, contrarrestar la brecha divergente de género.

En el año 2000 se determinan las cuotas, mismas que entre varios aspectos incluía un porcentaje mínimo de mujeres candidatas en las elecciones pluripersonales, estableciendo que, las listas tendientes a presentarse deben contar con el 30% de mujeres para dignidades de elección popular en cargos principales y con la misma proporción para suplentes, cuota que debería incrementarse un 5% en cada elección posterior, hasta alcanzar igualdad en la representación.[2]

            La paridad de género se consolida en la Conferencia Regional suscitada en el Consenso de Quito en el 2007, cuyos ejes temáticos principales para reconocer la igualdad formal de género se centraron: en el impacto de la contribución de las mujeres a la economía, la protección estatal que éstas reciben como sujeto de derechos y la forma en la que éstos se les garantizan a través de las fuentes jurídicas de los Estados.

Puntualmente nace en la mayoría de las legislaciones de los países asistentes la necesidad de implementar reformas legales que fomenten una mayor inclusión de la mujer en espacios profesionales y una participación política en condiciones paralelas y en virtud de que la paridad de género es:

            Uno de los propulsores determinantes de la democracia, cuyo fin es alcanzar la igualdad en el ejercicio del poder, en la toma de decisiones, en los mecanismos de participación y representación social y política, y en las relaciones familiares al interior de los diversos tipos de familias. (ONU MUJERES; PARLAMENTO LATINOAMERICANO Y CARIBEÑO, 2015, pág. 5)

            Este último fragmento se reconoce dentro de la Norma Marco para consolidar la Democracia Paritaria como uno de los motivos propicios para su creación y que sirve como guía no vinculante a los Estados. A partir de la vigencia de la nueva Constitución del 2008 se incorpora esta figura jurídica como un principio constitucional para coadyuvar normativamente al fortalecimiento de un sistema electoral democrático, que priorice espacios y procesos fundamentados en la igualdad de condiciones y oportunidades afianzando connaturalmente el impulso del activismo político femenino.

            La Ley Orgánica de Participación Ciudadana (2010) establece en su contenido un concepto pertinente sobre paridad de género:

            Es la participación proporcional de las mujeres y los hombres en las instancias, mecanismos e instrumentos definidos en la presente Ley; así como, en el control social de las instituciones del Estado para lo cual se adoptarán medidas de acción afirmativa que promuevan la participación real y efectiva de las mujeres en este ámbito. (p.5)

            El principio de paridad está correlacionado con el principio de igualdad material que debe comprenderse tal como lo catalogan Brito & Lucio (2018): “igualdad como punto de llegada o igualdad de resultados” (p.72), dado que, no sólo la contemplan como un postulado teórico sino como una política de acción donde los derechos a más de estar positivados se cumplen mediante mecanismos dispuestos por los instrumentos legales para dicho efecto.

            A través de este principio se aplica la “representación-reflejo” esto es que “si la mitad de la población está constituida por mujeres, la composición de los órganos de decisión debe reproducir esa realidad” (Villanueva, 2008, pág. 81). En Ecuador el 51% de la población es masculina y el 49% es femenina[3]. Este concepto induce a estatuir una igualdad que priorice ejercer una representación paritaria y justa en cuanto a la coexistencia de hombres y mujeres en las esferas públicas y privadas.

            Con mayor precisión “la paridad política generalmente se presenta como la reivindicación de una igualdad perfecta en el número de las mujeres y de los varones en los cargos electivos” (Smaldone, 2021, pág. 113). De esta forma, el principio de paridad que determina un alcance perenne, inalterable e inmutable, en su aplicación deberá constar el 50% de representación para cada sexo.

La Carta Magna vigente promueve el desarrollo efectivo de los derechos de participación mediante la prominencia del principio de paridad de género que referido en este mismo cuerpo de supremacía legal expresa:            

            Art. 116.- Para las elecciones pluripersonales, la ley establecerá un sistema electoral conforme a los principios de proporcionalidad, igualdad del voto, equidad, paridad y alternabilidad entre mujeres y hombres; (…) [4]

Se enfatiza en que la garantía constitucional tal como lo describen Zeballos, Ordeñana & Peñafiel (2018): “las garantías constitucionales son herramientas legislativas diseñadas para salvaguardar los derechos fundamentales” (p.42).

            Basando lo manifestado por los autores en este texto, el principio de paridad como garantía constitucional supone que se respetará la función primordial de precautelar los derechos de participación de las mujeres fundamentados en la Carta Magna, y que mediante la ejecución de los mecanismos y las herramientas pertinentes la mujer pueda protegerlos y defenderlos.

            En adición, también poner en manifiesto la posible y/o inminente vulneración de este principio en el contexto electoral o en otro, o que, existiendo la trasgresión pueda ejercer la oportuna reparación, dado que la CRE la ampara mediante el reconocimiento formal y material de la paridad de género como un principio susceptible de jurisdicción constitucional.

            Con base en ello, la mujer así como un tercero interesado está legitimado activamente para interponer el recurso adecuado cuando considere que un derecho o principio constitucional se le ha violentado. Como se detalló con anterioridad los derechos de participación con enfoque en la paridad de género son susceptibles de tutela judicial y el mecanismo correspondiente es una acción de protección, misma que “tendrá por objeto el amparo directo y eficaz de los derechos reconocidos en la Constitución” (Art. 88, CRE).

            Se presenta la acción bajo los elementos que el Art. 10 de la Ley Orgánica de Garantías Jurisdiccionales y Control Constitucional[5] exige, los cuales son:

·         Que sea una violación a un derecho constitucional,

·         Que la acción u omisión no provenga de una autoridad judicial y;

·         Que no exista otro mecanismo jurídico que pueda proteger el derecho violado.

            El principio de paridad aplicado en el sistema electoral es una figura jurídica que se concatena a otros dos principios constitucionales, la alternabilidad y la secuencialidad.

            En una acepción teórica, Cedillo Delgado (2008) manifiesta que la alternancia en el contexto electoral “suele referirse a procesos observables de cambios en la elección de cargos públicos, en donde no sólo lleva implícita la posibilidad, sino también la presentación de las mutaciones partidistas en los puestos de elección”. (p.121). A diferencia del primero, es escasa la precisión doctrinaria sobre el término secuencialidad en el contexto electoral, sin embargo, Paredes Balladares (2011) expresa que: “la secuencialidad significa uno detrás de otro o viceversa” (p.51).

            En la aplicación de ambas figuras jurídicas como mecanismos regulatorios en la conformación de las listas de candidatos a ostentar un cargo público por elección popular, los partidos políticos deben constituir una estructura de representación por género que alterne los espacios de ubicación entre mujeres y hombres siguiendo un patrón secuencial para su distribución hasta la conformación total de la misma, es decir mujer-hombre-mujer o viceversa. “Se considera que la conformación de listas de manera alternada y secuencial permitiría a las mujeres alcanzar mayores dignidades en el espacio público”  (Webster, 2021, pág. 121).

            La paridad de género es una figura que no se implementa aislada de otros principios y mecanismos de acción, se entrelaza a otros principios constitucionales, actúa en diversas áreas y procesos, pero con el objeto principal de garantizarle a la mujer una participación activa y efectiva en la vida política.

Resultados

            El principio de paridad de género alcanza la constitucionalidad formal como resultado de un largo proceso jurídico que pretendía incorporar la participación de la mujer en proporciones sustancialmente equiparadas con las del hombre, misma que, fue durante décadas rezagada por la desigualdad y exclusión, naturalizada por el contexto sociocultural que ha caracterizado el devenir histórico del Ecuador

            Si bien las medidas afirmativas fueron el puntapié para generar el progresismo de postulados teóricos más inclusivos para las mujeres en materia política, la paridad de género consolida el cambio de estructuras legales para sustentar una igualdad real, a muestra de que desde su anexión a la Constitución todos los demás cuerpos normativos alienaron su contenido enfocándola como una garantía constitucional de aplicación inmediata, insustituible y fundamental.

            Esto conllevó a su vez, a que el sistema electoral y los planes, programas y proyectos que se ajusten a este, aseguren a la mujer el pleno reconocimiento, acceso, desarrollo y goce de sus derechos de participación, mediante los cuales le permiten inmiscuirse en más actividades políticas, mediante procesos de selección paritaria sin barreras estructurales que limiten su efectividad.

            La paridad de género como garantía constitucional, las facultó también a procesar judicialmente trasgresiones de los derechos de participación de las mujeres, dado que, la no ejecución efectiva de ésta no sólo irrumpe los preceptos de la Norma suprema, sino que posee incidencia además en el incumplimiento de la igualdad material de género como un propósito intergubernamental para alcanzar la propuesta democracia paritaria.

            En Ley Orgánica Electoral y de Organizaciones Políticas, Código de la Democracia, se implementan tres reformas puntuales que promovieron la formalidad de la paridad de género para este último proceso electoral:

Método de adjudicación de escaños. - Tal como lo indica el Art. 165 del Código de la Democracia, en caso de empate entre un hombre y una mujer, por prelación es esta última quien ocupará el escaño disputado con la finalidad de ejercer una mayor representación femenina en los espacios de poder.

            Cambio del sistema de listas y entre listas por el sistema de listas cerradas y bloqueadas. – El impacto del cambio del voto entre listas o también denominado “lista abierta” con las listas cerradas y bloqueadas es que se selecciona no a candidatos puntuales sino a la lista completa con el orden que ha sido conformada por el partido político, y si se estableció conforme a los principios de paridad de género, alternabilidad y secuencialidad, los resultados reflejarán una representación paritaria en la elección, esto corresponde al Art. 120 ibidem.  

Encabezamiento de mujeres en las listas cerradas y bloqueadas (paridad transversal). – Se pretende que para el 2025 las mujeres alcancen la conformación del encabezamiento del 50% de las listas, con la finalidad de ejercer presencia real de mujeres en las mismas, y así, fomentar el empoderamiento político femenino.

Mediante las elecciones populares se observa si la aplicación de la paridad de género influyó particularmente en el cimiento de una sociedad equitativa con bases en el respeto por las normas legales con enfoque de género. Para comprobar la igualdad material que se propugna en las leyes se analiza el periodo electoral 2021.

Una captura de pantalla de un celular con letras

Descripción generada automáticamente con confianza mediaTabla 1. Análisis de la paridad de género en los binomios presidenciales

 

 

 

 

 

 

 

 

 

 

 

 

 

Fuente: Consejo Nacional Electoral, CNE 2021

Elaborado por: Las autoras.

Gráfico, Gráfico de burbujas

Descripción generada automáticamenteGráfico, Gráfico de burbujas

Descripción generada automáticamente                         Gráfico 1                                                          Gráfico 2

 

 

De acuerdo a lo preestablecido en la Tabla 1, se postulan para binomios presidenciales un total de 16 listas, de las cuales 10 de ellas otorgan ejecución al principio de paridad de género con énfasis en la alternabilidad y secuencialidad al estar conformadas por 1 hombre y 1 mujer, a diferencia de los 6 restantes que están estructuradas por representantes únicamente masculinos.

            En el contexto de las y los candidatos para presidente y vicepresidente, el 68,75% de éstos en su totalidad representa a hombres y el 31,25% a mujeres, tal como se indica en el gráfico 1. Como resultado de las elecciones del periodo 2021, el binomio electo fue el conformado por la lista CREO, es decir por 2 hombres, se traduce en el gráfico 2 que porcentualmente el 100% de los electos son hombres.

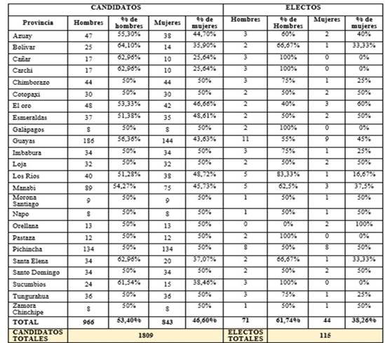
Tabla 2.  Análisis de la paridad de género en los candidatos y electos a asambleístas provinciales

 

 

 

 

 

 

 

 

 

 

 

 

 

 

 

 

Fuente: Observatorio Legislativo - Asamblea Nacional 2021-2025

Elaborado por: Las autoras


 

Gráfico, Gráfico de burbujas

Descripción generada automáticamente                           Gráfico 3                                                         Gráfico 4

 

 

 

 

            Las listas inscritas fueron estructuradas conforme los principios de paridad, alternancia y secuencialidad. Cada lista se debía consolidar acorde a las circunscripciones de sus territorios.   Se postulan un total de 1809 candidatos y candidatas para asambleístas provinciales divididos en 966 hombres y 843 mujeres, lo que porcentualmente se traduce a 53,40% y 46, 60% de las candidaturas totales respectivamente. Acorde se señala en el gráfico 3 los hombres poseen 13% más que las mujeres en el contexto de las candidaturas.  Del total de 115 personajes electos, 71 son hombres y 44 son mujeres tal como lo identifica el gráfico 4, los hombres obtienen el 61,74% de los curules totales de la asamblea con relación al 38,26% alcanzado por las mujeres.

Tabla 3. Análisis de la paridad de género en los candidatos a asambleístas nacionales

Tabla

Descripción generada automáticamente
 

 

 

 

 

 

 

 

 

 

 

 

 

 

 


Fuente: Consejo Nacional Electoral, CNE 2021

Elaborado por: Las autoras

 

Gráfico, Gráfico de burbujas

Descripción generada automáticamenteGráfico, Gráfico de burbujas

Descripción generada automáticamente                    Gráfico 5                                                           Gráfico 6

 

 

 

 

 

            En la esfera de asambleístas nacionales, se describe en la Tabla 3 la participación de 17 listas, cada lista postula 14 candidatos con observancia paritaria entre sus miembros. Esto enmarca como resultado un total de 255 candidatos de los cuales 124 son mujeres y 131 son hombres, en interpretación porcentual se refleja el 48,63% y 51,37% respectivamente. Como lo simboliza la Tabla 3, en la elección los votantes en relación con los 255 candidatos totales posesionaron a 8 mujeres (53,33%) y 7 hombres (46,66%).

Discusión

            Es incuestionable que Ecuador ha sido Estado pionero en otorgar derechos a las mujeres en el contexto de la participación política frente a los demás países de Latinoamérica y que las reformas de sus textos legales para cumplir con los compromisos intergubernamentales de consolidar una nación democráticamente paritaria son la evidencia de que se está avanzando en materia de igualdad en razón de género.

            Sin embargo, es una realidad que son varios los factores que obstaculizan aún el cumplimiento de la paridad de género en su generalidad. Aunque las normativas jurídicas incluyan que los procesos de selección de candidatos para conformación de listas deben seguir una estructura paritaria, no se determina que los binomios presidenciales, por citar un ejemplo, deban conformarse imperativamente de esta manera, esto se demuestra en la Tabla 1 y gráfico 1 de los resultados respectivamente, en la cual las candidaturas de hombres es el doble que las candidaturas de las mujeres, aquí existe un conflicto de estructura que debió ser prevenido y posteriormente modificado en el proceso de admisión de listas.


            En este mismo caso, sólo 1 de las 16 listas aprobadas candidatizan para el cargo de presidente a una mujer, lo que implica que, la representación de mujeres para la ocupación de este espacio es prácticamente nula. La conformación paritaria de listas influye directamente en el resultado de las elecciones, es lo que se demuestra en el gráfico 4, donde la población masculina abarca casi el doble de los curules legislativos frente a la población femenina. La representación de mujeres en cargos políticos debe poder generar una influencia abismal para otras mujeres, puesto que, de esta forma se motiva a ejercer una participación activa.

Conclusiones

            La figura de paridad de género se consolida como resultado de transformaciones jurídicas que se implementaron con el objeto de constituir una democracia paritaria que permita el formal y material reconocimiento de los derechos de las mujeres en igualdad de oportunidades, ratificando la inalterabilidad e inmutabilidad de este principio como garantía constitucional mediante mecanismos justos que vialicen las potencialidades, habilidades y capacidades de las mujeres en espacios de incidencia política.

            La conformación de los actuales espacios de poder público refleja directamente los compromisos que el Estado ha asumido dentro de su ordenamiento jurídico así como a nivel internacional para fortalecer la participación activa de las mujeres en todos los procesos en los cuales puede desarrollarse. Garantizar que el Estado otorgue las medidas necesarias para hacer efectiva la paridad de género es el puntapié para la consolidación de una verdadera democracia paritaria.

            Las reformas que se propulsaron en el 2020 generaron una gran incidencia en el cumplimiento de la paridad de género en este proceso electoral, ya que, mediante este mecanismo se proporcionó la garantía de que si los partidos políticos estructuran las listas siguiendo los principios de paridad, alternabilidad y secuencialidad las mujeres tienen mayores posibilidades de ser electas para los puestos en los que participan, dado que limita a los electores a escoger conforme se han constituido.


Bibliografía:

Balladares, P. (2011). Participación paritaria entre hombres y mujeres en las elecciones pluripersonales y en las organizaciones políticas en el Ecuador. Quito, Ecuador: PUCE.

Brito, F., & Lucio, Á. (2018). Las medidas de acción afirmativa como efecto de la declaración constitucional de la igualdad material en la Constitución ecuatoriana desde el año 2008. Quito: Universidad Central del Ecuador.

Cedillo, R. (2008). ¿Alternancia electoral o alternancia política? Una revisión de los municipios de Chiautla, Isidro Fabela y Ozumba, en el Estado de México. Espacios Públicos, vol. 11, núm. 23,, 118-139. Obtenido de https://www.redalyc.org/pdf/676/67611217006.pdf

(CNIG), C. N., & (CNE), C. N. (2020). Participación Política de las mujeres en el Ecuador. Ecuador. Quito, Ecuador.

Fassler, C. (2007). Desarrollo y participación política de las mujeres. Buenos Aires, Argentina: CLACSO, Consejo Latinoamericano de Ciencias Sociales.

Freidenberg, F. (2018). “Ellas también saben”: estereotipos de género, resistencias a la inclusión y estrategias para feminizar la política. Pluralidad y Consenso, 86-101. Obtenido http://revista.ibd.senado.gob.mx/index.php/PluralidadyConsenso/article/viewFile/521/482

Ley Orgánica de Participación Ciudadana. (Registro Oficial Suplemento 175 de 20-abr-2010). Quito: Corporación de Estudios y Publicaciones.

ONU MUJERES. (2021). Hechos y cifras: Liderazgo y participación política de las mujeres. Copyrigth ONU MUJERES.

ONU MUJERES; PARLAMENTO LATINOAMERICANO Y CARIBEÑO. (2015). Norma Marco para consolidar la Democracia Paritaria.

Ríos. (2018). En A. Villarreal, & A. P. Muñoz, Participación política de mujeres en el ámbito local en Ecuador: ¿Qué explican las disparidades? (Vol. 18, págs. 43-70). Obtenido de https://estudioseconomicos.bce.fin.ec/index.php/RevistaCE/article/view/255/175

Smaldone, M. (2021). Paridad y Género. Aportes al debate desde el pensamiento feminista materialista de Christine Delphy. Zona Franca - Centro de estudios interdisciplinario sobre las mujeres (CEIM)(29), 97-131. Obtenido de https://www.memoria.fahce.unlp.edu.ar/art_revistas/pr.13118/pr.13118.pdf

Tula, I. (2017). Política e Instituciones hacia una democracia paritaria. ©ONU Mujeres, Entidad de las Naciones Unidas para la Igualdad de Género y el Empoderamiento Económico de las Mujeres.

Villanueva, R. (2008). Democracia paritaria, cuotas y sistemas electorales. Ponencia en el panel Democracia paritaria: Propuestas, Avances y Perspectivas en el Proceso Constituyente. En M. Choque, I. Torres, & S. Goyes, La apuesta por la paridad: Democratizando el sistema político en América. Los casos de Ecuador, Bolivia y Costa Rica. (pág. 228). Perú.

Webster, J. B. (2021). Las Mujeres como Candidatas en los Procesos Electorales en Ecuador desde el Retorno a la Democracia. SOCIOLOGÍA Y POLÍTICA HOY(5), 111-124. Obtenido de https://revistadigital.uce.edu.ec/index.php/hoy/article/view/3252/3800

Zeballos, R., Ordeñana, A., & Peñafiel, Á. (2018). La garantía constitucional de la seguridad jurídica y su relación con los derechos fundamentales en la república del Ecuador. Espirales, Revista multidisciplinaria de investigación, 40-54. doi:http://dx.doi.org/10.31876/re.v2i22.375



[1] Constitución de la República del Ecuador. (Registro Oficial 449 de 20-oct-2008). Disponible en: https://www.oas.org/juridico/pdfs/mesicic4_ecu_const.pdf

[2] Referencia al Art. 58 de la Codificación de la Ley de Elecciones del año 2000. Disponible en: http://americo.usal.es/oir/legislatina/normasyreglamentos/ley_electoral/EcuadorElecc.pdf

 

[3] Fuente: Departamento de Asuntos Económicos y Sociales de las Naciones Unidas. 2021. Disponible en: https://countrymeters.info/es/Ecuador

[4]Concordancia con el Art. 4 de la Ley Orgánica Electoral, Código de la Democracia.

Disponible en: https://www.igualdadgenero.gob.ec/wp-content/uploads/2020/02/Ley-Org%C3%A1nica-Electoral-C%C3%B3digo-de-la-Democracia.pdf

[5] Disponible en: https://www.oas.org/juridico/PDFs/mesicic4_ecu_org2.pdf