Técnicas para el análisis y visualización de datos en el campo agropecuario
Carlos Farfán Almeida, Reynaldo Anchundia Macías,
Luis Cedeño-Valarezo.
Escuela
Superior Politécnica Agropecuaria de Manabí
Manuel Félix López ESPAM MFL,
Calceta, Manabí,
Carrera de Computación,
Carrera de Agrícola.
carlos.farfan@espam.edu.ec,
reynaldo.anchundia@espam.edu.ec,
DOI: https://doi.org/10.56124/encriptar.v8i16.004
Resumen
El estudio tuvo como objetivo la limpieza y preparación de datos
relacionados con el peso de los lechones en diferentes etapas desde su
nacimiento hasta el destete. Se abordan técnicas para el análisis y
visualización de datos en el sector agropecuario mediante la aplicación parcial
de la metodología CRISP-DM. En primer lugar, se recopilaron datos desde 2022 al
2024 de la ESPAM MFL referentes al hato porcino los mismos que estaban en
tablas de Excel. Posteriormente, se realiza una revisión exhaustiva de la información,
se determina que, de 1477 registros, únicamente el 6.23% estaban completos.
Luego, se limpió y preparó los datos empleando un enfoque estructurado que
incluyó la identificación y eliminación de datos atípicos mediante el método
del rango intercuartílico, el filtrado de registros completos y el cálculo de
tasas de crecimiento promedio entre columnas, las mismas que se emplearon para
imputar valores faltantes, obteniendo un conjunto de datos limpio y
consistente. El resultado más relevante incluye la generación de un conjunto de
datos apto para modelos de aprendizaje automático, validado mediante diversas
visualizaciones, como diagramas de cajas, histogramas y gráficos de dispersión.
Este enfoque proporciona un marco reproducible y adaptable para la preparación
de datos en el sector agropecuario.
Palabras-clave: Metodología
CRISP-DM; procesamiento de datos; análisis de peso; análisis
de datos.
Techniques
for Data Analysis and Visualization in the Agricultural Field
Abstract
The study aims to clean and prepare data related to
piglet weight at different stages from birth to weaning. It explores techniques
for data analysis and visualization in the agricultural sector through the
partial application of the CRISP-DM methodology.First,
data from 2022 to 2024 related to the swine herd at ESPAM MFL was collected,
originally stored in Excel tables. Subsequently, a thorough review of the
information was conducted, revealing that only 6.18% of the 1,489 records were
complete. The data was then cleaned and prepared using a structured approach
that included identifying and removing outliers through the interquartile range
method, filtering complete records, and calculating average growth rates across
columns. These growth rates were used to impute missing values, resulting in a
clean and consistent dataset. The most significant outcome is the generation of
a dataset suitable for machine learning models, validated through various
visualizations such as box plots, histograms, and scatter plots. This approach
provides a reproducible and adaptable framework for data preparation in the
agricultural sector.
Keywords:
CRISP-DM methodology; data processing; weight analysis; data
mining.
1.
Introducción
Según Campos (2023), la incorporación de la inteligencia artificial en
el ámbito agropecuario ha revolucionado los procesos de cultivo, producción y
gestión, mejorando la eficiencia y productividad. Frackiewicz
(2023) destaca que el uso de algoritmos avanzados y sistemas de aprendizaje
automático permite a agricultores y ganaderos tomar decisiones más informadas,
optimizando recursos como agua y fertilizantes, y contribuyendo a la
sostenibilidad ambiental. Asimismo, Cuevas et al. (2021) subrayan que estas tecnologías
facilitan el monitoreo en tiempo real del crecimiento de plantas, permitiendo
la detección temprana de enfermedades y deficiencias de nutrientes. En el
ámbito ganadero, Agrospray (2022) resalta el uso de
la inteligencia artificial para supervisar la salud del ganado y predecir su
comportamiento reproductivo.
La calidad de los datos utilizados para entrenar modelos de inteligencia
artificial es crucial para garantizar su precisión y éxito. Según el Instituto
de Ingeniería del Conocimiento (2021), los datos constituyen la base sobre la
cual la inteligencia artificial aprende, identifica patrones y realiza
predicciones. A medida que los modelos reciben mayores volúmenes de datos
representativos y de alta calidad, su capacidad para adaptarse y generalizar
mejora significativamente (González, 2022). Sin embargo, Corvalán (2018) y Dutta (2023) señalan que para evitar sesgos y garantizar la
confiabilidad de los modelos, es fundamental que los datos sean diversos y
estén correctamente gestionados. Esto abarca procesos de limpieza para eliminar
inconsistencias, así como la adopción de un enfoque ético en su recopilación,
como enfatizan Pérez (2021) y Paz (2023).
Un conjunto de datos destinado al entrenamiento de modelos debe reflejar
con precisión la variabilidad del problema abordado. BigDataAnalytics
(2023) indica que un dataset representativo y
equilibrado asegura que los modelos puedan generalizar correctamente y
reconocer patrones en nuevas situaciones. Además, Bagnato
(2020) añade que mantener un balance en las clases evita sesgos hacia
categorías mayoritarias y mejora el desempeño en la clasificación de clases
minoritarias.
El análisis y la visualización de datos son herramientas esenciales en
disciplinas como la agricultura, la ingeniería y las ciencias sociales. Según Cavaller et al. (2018), estos procesos permiten descubrir
patrones y relaciones significativas en los datos a través de métodos
estadísticos y técnicas de aprendizaje automático. Eckert (2022) y Sunil (2023) destacan que estas técnicas no solo responden
preguntas clave, sino que también apoyan la toma de decisiones informadas.
Reyes (2018) y Himeur (2022) enfatizan que la
representación gráfica de los datos facilita la identificación de tendencias,
anomalías y correlaciones, lo que resulta especialmente útil en el ámbito
agropecuario para mejorar la eficiencia y reducir riesgos.
En esta investigación, cuyo principal objetivo es construir un conjunto
de datos para el aprendizaje automático basado en información agropecuaria, se
aplican técnicas de análisis y visualización de datos. Estas introducen
análisis de correlación, regresión y componentes principales (PCA) para
identificar variables relevantes y explorar relaciones entre características
agrícolas y ganaderas (profesorDATA, 2022; Coursera,
2023). Estas técnicas no solo optimizan la estructura del conjunto de datos,
sino que también facilitan la identificación de patrones y tendencias clave
para mejorar la eficiencia y sostenibilidad del sector agropecuario, como
concluyen Bajić y Job (2023).
2.
Materiales y métodos
En este estudio, se empleó a CRISP-DM como una herramienta metodológica.
Ésta es una metodología estándar utilizada en el campo de la minería de datos.
Consta de seis etapas principales, de las cuales sólo se emplearon las tres
primeras (IBM, 2023).
Para fundamentar el estudio, se llevó a cabo una revisión de la
literatura en bases de datos científicas como Google Scholar,
Scopus e IEEE Xplore,
utilizando palabras clave relacionadas con "análisis de datos
agropecuarios", "limpieza de datos", "metodología
CRISP-DM" y "visualización de datos". Se seleccionaron artículos
publicados en los últimos cinco años, priorizando aquellos con aplicaciones en
el sector agropecuario. Se excluyeron referencias sin respaldo científico o que
no estuvieran alineadas con los objetivos del estudio. Además, se analizaron
revisiones previas sobre técnicas de procesamiento de datos aplicadas en la
cría porcina, garantizando una base teórica actualizada y relevante para el
desarrollo de la investigación.
A continuación, se presentan las etapas descritas en ésta metodología:
Comprensión del negocio, Comprensión de datos, Preparación de los datos,
Modelado, Evaluación y Despliegue.
2.1 Comprensión del negocio
Para completar esta fase, se estableció comunicación directa con la
Carrera de Ingeniería Agrícola, alcanzando un acuerdo para realizar una visita
al hato porcino y coordinar la entrega formal de los datos por parte del
responsable de su gestión. Durante esta interacción, se expuso la naturaleza de
la información requerida y se efectuó una revisión inicial de los archivos
suministrados.
Posteriormente, tras la recopilación de los datos del hato porcino, se
llevó a cabo un análisis preliminar en el que se identificaron diversos
factores relevantes. La información se encontraba estructurada en fichas de
parto individuales por cerda y en registros en formato bruto, lo que requirió
un proceso de organización y depuración para su adecuada integración y
limpieza.
2.2 Estudio y comprensión de los datos
Luego de la recopilación de los datos provenientes del hato porcino,
estos fueron organizados en filas y columnas dentro de una hoja de Excel, con
el fin de facilitar su manipulación y procesamiento. Posteriormente, se
importaron a Google Colab, donde se emplearon
librerías especializadas para su limpieza y transformación.
En esta etapa, se realizó un análisis exhaustivo del conjunto de datos,
verificando su estructura y calidad. Se identificaron inconsistencias, valores
nulos y atípicos en los registros, asegurando que la información estuviera en
condiciones óptimas para su uso. Finalmente, con base en este análisis, se
seleccionaron los métodos y técnicas adecuados para la construcción del
conjunto de datos completo, garantizando su coherencia y fiabilidad.
2.3 Preparación de los datos
Durante la fase de preparación de los datos, se implementaron diversas
técnicas y métodos para garantizar la calidad, coherencia y completitud del
conjunto de datos. A continuación, se describen los procedimientos aplicados.
Para eliminar los valores atípicos se utilizó el método IQR (Interquartile Range)
para identificar y eliminar valores atípicos en las columnas de peso. Este
método es una técnica estadística que define como valores atípicos aquellos que
se encuentran fuera del rango determinado por los cuartiles Q1 (percentil 25%)
y Q3 (percentil 75%), ajustando un multiplicador específico para cada variable.
Fórmula aplicada es
, donde:
●
Q1: Primer cuartil (25% de los datos ordenados).
●
Q3: Tercer cuartil (75% de los datos ordenados).
A partir del IQR, se definieron los límites superior e inferior para
identificar los valores atípicos según las fórmulas:
![]()
![]()
Luego, para evitar sesgos en el análisis, se
aplicó la técnica de filtrado por datos completos, que consiste en seleccionar
únicamente aquellas filas donde todas las variables críticas de peso contaban
con valores registrados. Esto garantiza que los cálculos posteriores se
realizan sobre datos sin registros incompletos. Para ello, se utilizó la
función dropna() de la librería pandas, la cual permite eliminar filas con
valores nulos en las columnas especificadas, asegurando que solo se trabaje con
datos completos y estructurados.
Posteriormente, se implementó el cálculo de la tasa de crecimiento como
una métrica clave para evaluar la evolución del peso a lo largo del tiempo.
Esta tasa mide el incremento porcentual del peso en distintos intervalos de
días. La fórmula aplicada fue:
![]()
El cálculo de estas tasas permite analizar la
dinámica de crecimiento y detectar posibles anomalías en los datos.
Por último, dado que varias columnas de peso contaban con valores
faltantes, se aplicó la imputación de datos utilizando la tasa de crecimiento
inter-etapas. Este método permite estimar valores ausentes basándose en el
crecimiento promedio observado en los datos completos. Se aplicó la fórmula:
![]()
3.
Resultados y discusión
3.1 Comprensión del negocio
La problemática radica en la falta de conjuntos de datos completos y de
alta calidad en el sector agropecuario, lo que limita la implementación de
tecnologías avanzadas, como el aprendizaje automático, en actividades agrícolas
y ganaderas. Esta carencia dificulta la identificación de patrones y tendencias
relevantes que podrían optimizar procesos productivos, mejorar la
sostenibilidad y apoyar decisiones estratégicas basadas en datos. Por esta
razón, en este trabajo se incluye el desarrollo de un conjunto de datos
agropecuarios diseñado para garantizar su aplicabilidad en modelos de
aprendizaje automático. Este conjunto de datos tiene como finalidad
proporcionar información clave para analizar parámetros como el peso de los
animales en diferentes etapas, identificar tendencias de crecimiento, y
contribuir al desarrollo de prácticas más eficientes y sostenibles en el
sector.
La información utilizada en este proyecto fue recopilada del hato
porcino de la carrera de Ingeniería Agrícola de la ESPAM MFL. Estos datos
fueron proporcionados en fichas de partos en formato Excel y contienen
información detallada (en ciertas columnas, ya que otras existen valores nulos)
sobre el peso al nacimiento, peso a los 8 días, peso a los 15 días, peso a los
22 días y peso al destete (30 días). Este registro es representativo de las
condiciones productivas del sector y ha sido fundamental para garantizar la
calidad y relevancia del análisis. La base de datos generada se podrá utilizar
para mejorar la toma de decisiones en el ámbito agropecuario, fomentar la
adopción de tecnologías innovadoras y sentar las bases para investigaciones
futuras orientadas a la sostenibilidad y productividad del sector.
3.2. Estudio y Comprensión de los datos
Después de recopilar los datos y organizarlos en
filas y columnas dentro de una nueva hoja excel, se
realizó un análisis del conjunto utilizando Google Colab
como entorno de trabajo y empleando librerías como pandas y matplotlib.pyplot.
Este análisis incluyó una revisión detallada de la estructura de la data,
evaluando su calidad y contenido para identificar posibles inconsistencias o
problemas. La descripción inicial del conjunto de datos (Tabla 1) abarcó las
variables presentes, especificando su nombre, tipo y una breve explicación de
su significado.
Tabla 1. Descripción de Variables de la
Data Set original.
|
Categoría |
Variable |
Tipo |
Descripción |
|
Identificación de porcinos |
CODIGO_LECHON |
Categórico |
Identificador
único de cada lechón. |
|
|
CODIGO_MADRE |
Categórico |
Identificador
de la madre del lechón. |
|
|
CODIGO_PADRE |
Categórico |
Identificador
del padre del lechón. |
|
Características básicas |
SEXO |
Categórico |
Género
del lechón. |
|
|
COLOR |
Categórico |
Color
del lechón. |
|
Pesos en diferentes etapas |
PESO_AL_NACIMIENTO |
Numérico |
Peso al
nacer del lechón. |
|
|
PESO_8_DIAS |
Numérico |
Peso del
lechón a los 8 días de vida. |
|
|
PESO_15_DIAS |
Numérico |
Peso del
lechón a los 15 días de vida. |
|
|
PESO_22_DIAS |
Numérico |
Peso del
lechón a los 22 días de vida. |
|
|
PESO_30_DIAS |
Numérico |
Peso del
lechón al destete (30 días de vida). |
|
Información temporal y promedios |
FECHA_DE_NACIMIENTO |
Categórico |
Fecha de
nacimiento del lechón. |
|
|
PP_NACIMIENTO |
Numérico |
Peso
promedio al nacer. |
|
|
PP_DESTETE |
Numérico |
Peso
promedio al destete. |
Fuente: Los
autores (2024)
El análisis inicial permitió detectar ciertos problemas, como valores
nulos en algunas columnas de peso y variaciones en el formato de las fechas.
Estos hallazgos permitieron diseñar estrategias de limpieza y preparación de
datos que garantizaran la integridad del análisis posterior. Este paso fue
esencial para establecer una comprensión clara y detallada del conjunto de
datos, sentando las bases para su transformación y análisis.
3.3. Preparación de los datos
La etapa de preparación de los datos integró un conjunto de técnicas
orientadas a garantizar la calidad, integridad y completitud del conjunto de
datos utilizado en el análisis. Este proceso fue dividido en varias fases
consecutivas que incluyeron la detección y eliminación de valores atípicos, el
filtrado por datos completos, el cálculo de tasas de crecimiento, la imputación
de datos faltantes y, finalmente, la generación de gráficas representativas de
la data procesada.
La figura 1 muestra un mapa de calor que visualiza los valores faltantes
(color amarillo) y valores completos (color morado) en el conjunto de datos
original, permitiendo identificar de manera clara las columnas de peso con
registros incompletos.
La Tabla 2 complementa esta información al
presentar la cantidad de valores faltantes y completos en cada una de las
columnas de peso, proporcionando una visión detallada del estado inicial de los
datos. En ella se observa que la variable PESO_AL_NACIMIENTO no presenta
valores faltantes, mientras que el resto de las variables de peso muestran
distintos niveles de ausencia de datos, siendo PESO_22_DIAS la columna con el
mayor porcentaje de valores faltantes (74.27%). Además, se incluye una columna
que expresa el porcentaje de datos ausentes en cada variable, lo que permite
evaluar cuantitativamente el nivel de integridad de la información y su impacto
en el análisis.
Figura 1. Mapa de calor de valores faltantes en las columnas de peso.
Fuente: Los
autores (2024)
Tabla 2. Distribución de valores ausentes
por columna.
|
Columnas de Peso |
Valores Faltantes |
Valores Completos |
Porcentajes de Valores Faltantes |
|
PESO_AL_NACIMIENTO |
0 |
1477 |
00.00% |
|
PESO_8_DIAS |
842 |
57.00% |
|
|
PESO_15_DIAS |
1001 |
67.77% |
|
|
PESO_22_DIAS |
1097 |
74.27% |
|
|
PESO_30_DIAS |
1049 |
71.02% |
Fuente: Los
autores (2024)
3.3.1 Detección y eliminación de valores atípicos
El primer paso consistió en identificar valores atípicos en las columnas
relacionadas con el peso (PESO_AL_NACIMIENTO, PESO_8_DIAS, PESO_15_DIAS,
PESO_22_DIAS, PESO_30_DIAS), utilizando el método IQR.
Para controlar la sensibilidad en la detección de datos atípicos, se
ajustaron los multiplicadores en la fórmula de los límites superiores e
inferiores de cada columna. Este ajuste permitió mantener un equilibrio entre
la eliminación de valores extremos y la conservación de datos representativos.
En la Tabla 3, se presentan los valores de los multiplicadores inferior
y superior aplicados a cada columna de peso, junto con los límites inferior y
superior resultantes tras su cálculo.
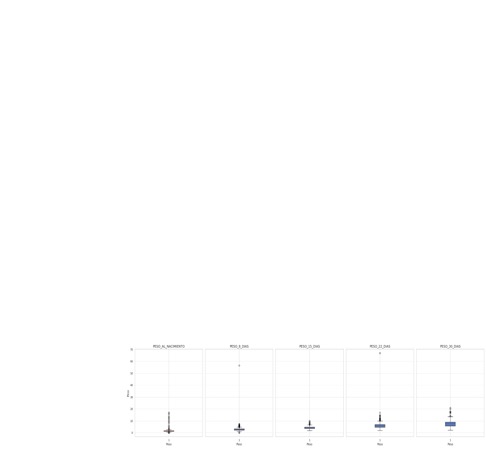
La Figura 2 muestra los diagramas de caja
correspondientes a las columnas de peso del conjunto de datos:
PESO_AL_NACIMIENTO, PESO_8_DIAS, PESO_15_DIAS, PESO_22_DIAS y PESO_30_DIAS,
evidenciando la presencia de valores atípicos en cada una de ellas. En la
columna PESO_AL_NACIMIENTO, se identifican 79 valores atípicos, algunos
superiores a 15 kg. En PESO_8_DIAS, destacan 136 valores atípico, unos están
por encima de 50 kg, mientras que en PESO_15_DIAS se observan 94 valores
atípicos entre ellos unos superiores a 7 kg. La columna PESO_22_DIAS presenta
82 valores atípicos, unos están por encima de 60 kg, mientras que en
PESO_30_DIAS se obtienen 55 valores atípicos, siendo los más altos ligeramente
superiores a 12 kg.
Estos resultados evidencian la presencia de
datos atípicos en estas columnas, los cuales fueron identificados y eliminados
mediante el método IQR, lo que permitió obtener un conjunto de datos más
coherente y representativo de las tendencias de crecimiento en las diferentes
etapas.
Tabla 3. Distribución de valores ausentes
por columna.
|
Columna |
Multiplicador
Inferior |
Multiplicador
Superior |
Límite
Inferior |
Límite
Superior |
|
PESO_AL_NACIMIENTO |
1 |
1 |
0.78 |
2.34 |
|
PESO_8_DIAS |
0.25 |
0.50 |
2.11 |
3.77 |
|
PESO_15_DIAS |
0.20 |
0.50 |
3.56 |
5.40 |
|
PESO_22_DIAS |
0.25 |
0.25 |
4.77 |
6.90 |
|
PESO_30_DIAS |
0.10 |
1.50 |
5.73 |
12.15 |
Fuente: Los autores (2024)
En la Figura 3, los diagramas de cajas muestran los datos de las
columnas de peso en distintos días después de la eliminación de valores
atípicos mediante el método IQR, asegurando una distribución más limpia y
representativa. En el peso al nacimiento y en los primeros días (8, 15 y 22
días), los valores están concentrados en rangos estrechos, lo que indica baja
variabilidad y mayor homogeneidad en los datos.
Figura 2. Diagramas de caja con valores atípicos en
columnas de peso.
Fuente: Los autores (2024)
En el peso a los 30 días, se observa una mayor dispersión de valores,
coherente con el impacto del crecimiento, pero sin presencia de valores
extremos que afecten la distribución. Esto confirma que la aplicación del método
IQR permitió obtener un conjunto de datos más preciso y consistente para el
análisis de las tendencias de crecimiento.
Figura 3. Diagramas de caja sin valores atípicos en columnas de peso.

Fuente: Los
autores (2024)
3.3.2 Filtrado por datos completos
Esta sección describe el procedimiento para la depuración de un conjunto
de datos relacionado con el crecimiento de lechones, con el propósito de
derivar un subconjunto compuesto exclusivamente por registros completos en las
columnas que reflejan el peso en distintas etapas del desarrollo: nacimiento,
8, 15, 22 y 30 días. El proceso comienza con la creación de una copia del
conjunto de datos original, garantizando así la preservación de su integridad y
habilitando el trabajo en una versión independiente.
Posteriormente, se define un arreglo con las columnas relevantes y se
aplica el método dropna para eliminar las filas que contengan valores nulos (NaN) en dichas columnas. Como resultado, se genera un nuevo
subconjunto denominado PORCINO_PESO_COMPLETO. Este procedimiento asegura la eliminación total de datos incompletos,
lo que resulta crucial para mantener la precisión y la consistencia en los
análisis subsecuentes.
Finalmente, el código computa y presenta el número total de registros
con datos completos, junto con un resumen preliminar de las primeras 92 filas
del subconjunto filtrado. En la figura 4 se muestra la evolución del peso de
los lechones mediante un boxplot combinado con
un gráfico de violín, evidenciando un aumento progresivo en el peso promedio y
una mayor dispersión en las etapas avanzadas, especialmente a los 30 días.
Figura 4. Distribución de Peso en la Data
Limpia.

Fuente: Los autores (2024)
Este enfoque integral no solo mejora la calidad de los datos para
análisis avanzados, sino que también reduce significativamente el riesgo de
errores y aumenta la confiabilidad de los resultados obtenidos mediante
técnicas analíticas más complejas.
3.3.3 Tasas de crecimiento
En esta
parte se implementa el cálculo de las tasas de crecimiento porcentual entre
diferentes etapas de desarrollo de lechones: de 0 a 8 días, de 8 a 15 días, de
15 a 22 días y de 22 a 30 días, utilizando los pesos registrados en cada
intervalo. Estas etapas fueron seleccionadas porque forman parte de las
variables analizadas en el modelo, al representar fases críticas del ciclo de
desarrollo de los lechones que incluyen crecimiento rápido. Estas tasas se
derivan utilizando la fórmula: , donde representa el
peso en la etapa actual y el peso en la etapa previa.
Esta expresión permite cuantificar el
crecimiento relativo en términos porcentuales, proporcionando una métrica clara
y consistente para el análisis. Posteriormente, se determinan los valores
promedio de dichas tasas para cada intervalo, ajustándose a dos decimales. Este
procedimiento analítico facilita la identificación de patrones de desarrollo y
la evaluación cuantitativa del rendimiento en cada fase, lo que tiene
implicaciones prácticas significativas, como la optimización de estrategias de
alimentación y manejo para maximizar el crecimiento en etapas críticas. Además,
estos patrones pueden proporcionar una base para investigaciones científicas
adicionales, como el análisis de la influencia de factores genéticos o
ambientales en el desarrollo de los lechones, contribuyendo a un diseño más
eficiente de programas de producción porcina.
La figura 5 muestra un gráfico de barras
asociado que ilustra los promedios calculados, destacando un crecimiento
inicial significativo del 93.65% entre 0-8 días, seguido por una disminución
gradual en los intervalos subsiguientes: 48.58% entre 8-15 días, 31.34% entre
15-22 días, y un incremento marginal a 34.78% entre 22-30 días. Este
comportamiento refleja un desarrollo progresivo influenciado por factores como
la adaptación temprana y la estabilización fisiológica en etapas posteriores.
Figura 5. Promedio de Tasas de Crecimiento
en Diferentes Etapas.

Fuente: Los autores (2024)
3.3.4
Imputación de Datos Faltantes
Para completar los valores faltantes en las columnas relacionadas con el
peso (PESO_8_DIAS, PESO_15_DIAS, PESO_22_DIAS y PESO_30_DIAS), se aplicó un
método de imputación basado en el promedio de las tasas de crecimiento entre
etapas consecutivas. Este enfoque garantizó que los datos estimados respetaran
las tendencias de crecimiento observadas en los registros completos y mantuvieran
la consistencia lógica entre las columnas de peso.
A.
Validación con el peso de la etapa siguiente (si
disponible): Si el peso de la etapa siguiente estaba presente, se verificó que
el valor imputado no fuera mayor o igual que el peso de dicha etapa. En caso de
incumplir esta condición, la tasa de crecimiento promedio se redujo
iterativamente en un 10% (tasa_reducción = 0.9),
ajustando el cálculo del valor imputado.
B.
Verificación de límites lógicos: El peso
imputado debía ser mayor al peso de la etapa anterior y, si existía un dato
posterior, menor al peso de la etapa siguiente. Esta regla evitó estimaciones
incoherentes y garantizó una progresión de crecimiento lógica y realista.
C.
Manejo de casos sin dato siguiente: Si no
existía un valor registrado para la etapa siguiente, la validación se realizó
únicamente en relación con el peso de la etapa anterior.
La Figura 6 muestra la distribución de datos
originales e imputados en distintas etapas del crecimiento de los lechones.
PESO_AL_NACIMIENTO cuenta con 100% de datos originales, reflejando una captura
de datos completa en esta fase. Sin embargo, a medida que avanza el
crecimiento, se incrementa la proporción de datos imputados, alcanzando 71.19%
en PESO_8_DIAS, 82.54% en PESO_15_DIAS, 87.39% en PESO_22_DIAS y 81.77% en
PESO_30_DIAS, lo que indica una pérdida significativa de información en etapas
posteriores.
Para mitigar este problema, se aplicó el IQR
para eliminar valores aberrantes y mejorar la calidad del conjunto de datos.
Posteriormente, se realizó la imputación utilizando la tasa de crecimiento inter-etapas,
asegurando que los valores generados fueran coherentes con la tendencia de
desarrollo natural de los lechones. Este método permitió mantener la
continuidad de los registros sin alterar su estructura.
El alto porcentaje de imputación en etapas
avanzadas puede deberse a problemas en la recolección de datos o
inconsistencias operativas. Aunque la imputación es una estrategia válida para
completar series de datos incompletas, es fundamental mejorar los procesos de
captura para reducir la dependencia de este método. Además, en la columna
PP_DESTETE, se aplicó una imputación basada en la media de PESO_30_DIAS dentro
de cada grupo familiar, garantizando estimaciones coherentes con los patrones
de crecimiento observados.
Figura 6. Proporción de Datos Originales e
Imputados.

Fuente: Los autores (2024)
4.
Conclusiones
El proceso de recopilación y análisis de datos
agropecuarios, junto con la aplicación de métodos específicos para su limpieza,
imputación y visualización, ha demostrado ser esencial para optimizar la
gestión de datos en la cría porcina. La implementación de técnicas como la
detección y eliminación de valores atípicos mediante el IQR, el filtrado por
datos completos y la imputación basada en tasas de crecimiento ha permitido
construir un conjunto de datos completo, consistente y de alta calidad. Este
conjunto de datos proporciona una base sólida para mejorar la toma de
decisiones y la eficiencia operativa en el ámbito agropecuario.
La exploración detallada de las variables de
peso, respaldada por técnicas estadísticas y representaciones gráficas, ha
permitido identificar patrones clave en las diferentes etapas de crecimiento de
los lechones, desde el nacimiento hasta los 30 días. Los ajustes realizados en
el conjunto de datos aseguran que las tendencias observadas sean
representativas y confiables, minimizando el impacto de valores extremos o
datos faltantes que podrían comprometer la calidad del análisis.
En la etapa final, la creación de un conjunto
refinado de datos con técnicas avanzadas de imputación ha destacado la
relevancia de características específicas, como la relación entre el peso y las
condiciones reproductivas. Este conjunto de datos se erige como una herramienta
robusta y adaptada a las necesidades específicas del sector porcino,
proporcionando insights valiosos para la toma
de decisiones informadas.
Estos resultados convergen en un enfoque
integral que no solo mejora la calidad y precisión de los datos en la cría
porcina, sino que también impulsa la eficiencia en la gestión de procesos clave
en este ámbito, consolidando el papel de las técnicas de análisis y
visualización como herramientas esenciales en el sector agropecuario.
5. Referencias
@BigDataAnalytics. (2023). Dataset: Qué es y
principales características. The Data Schools. https://thedataschools.com/que-es/data-set/
AgroSpray. (2022, January 10). Inteligencia artificial en el agro: más
productivo y sustentable -. AgroSpray Blog. https://agrospray.com.ar/blog/inteligencia-artificial-en-el-agro/
Ambrósio, L. M.,
Linhares, H. M., David, J., Braga, R., Arbex, W.,
Campos, M. M., & Capilla, R. (2021). Enhancing the reuse of scientific experiments for agricultural software
ecosystems. Journal of Grid Computing, 19(4). https://doi.org/10.1007/s10723-021-09583-x
Bagnato. (2020). Clasificación con datos desbalanceados |
Aprende Machine Learning. Aprende Machine Learning. https://www.aprendemachinelearning.com/clasificacion-con-datos-desbalanceados/
Bajić, F., & Job, J. (2023). Review of chart image detection and
classification. International Journal on Document Analysis and Recognition
(IJDAR), 26(4), 453–474. https://doi.org/10.1007/s10032-022-00424-5
Cavaller, V.,
Ruiz, D., Terrádez, M., Martín, A., & García, R.
(JUNIO de 2018). Técnicas avanzadas de análisis y visualización de datos. COMEIN(78). https://doi.org/https://doi.org/10.7238/issn.2014-2226
Campos, A. (2023). Inteligencia artificial en agricultura: la nueva
revolución del sector. Increnta. https://increnta.com/insights/inteligencia-artificial-en-agricultura/
Chen, J., Xiangliang, C.,
Fu, H., & Lam, A. (2018). Agricultural product monitoring system supported
by cloud computing. Cluster Computing, 22(S4), 8929–8938. https://doi.org/10.1007/s10586-018-2022-5
Corvalán, J. G. (2018). Inteligencia artificial: retos, desafíos y
oportunidades - Prometea: la primera inteligencia artificial de
Latinoamérica al servicio de la Justicia*. https://www.redalyc.org/journal/5340/534057837015/html/
Coursera. (2023, June 15). Visualización de datos: Definición, ventajas
y ejemplos. Coursera. https://www.coursera.org/mx/articles/data-visualization
Cuevas, M. F., Olguin, G. M., Noriega, A. L.,
& Ortiz, R. (2021, 07 15). Agricultura de precisión, análisis de imágenes
aplicada a la producción agrícola. inecol. https://www.inecol.mx/inecol/index.php/es/ct-menu-item-25/ct-menu-item-27/17-ciencia-hoy/1431-agricultura-de-precision-analisis-de-imagenes-aplicada-a-la-produccion-agricola
De Catalunya, U. O. (2018). Técnicas avanzadas de análisis y
visualización de datos. https://comein.uoc.edu/divulgacio/comein/es/numero78/articles/tecnicas-avanzadas-analisis-visualizacion-datos.html
De Oliveira, W., Braga, R., David, J., Ströele,
V., Campos, F., & Castro, G. (2022). Visionary: a framework for analysis and visualization of provenance
data. Knowledge and Information Systems, 64(2), 381–413. https://doi.org/10.1007/s10115-021-01645-6
Deeken, H., Wiemann, T., & Hertzberg, J. (2019).
A spatio-semantic approach to reasoning about
agricultural processes. Applied Intelligence, 49(11), 3821–3833. https://doi.org/10.1007/s10489-019-01451-2
Deniz, M., De Sousa, K. T., Gomes, I. C., Fabro, J. A., Vale, M. M. D., & Dittrich, J. R. (2021).
Development and application of an autonomous data logger to measure
environmental variables in livestock farming. International Journal of
Environmental Science and Technology, 19(9), 8699–8712. https://doi.org/10.1007/s13762-021-03734-z
Dutta, S.
(2023). Modelado de datos: Un pilar fundamental de su futura tecnología de IA.
CAS. https://www.cas.org/es-es/resources/blog/modelado-de-datos-un-pilar-fundamental-de-su-futura-tecnologia-de-ia
Espinosa-Zúñiga, J. J. (2020). Aplicación
de metodología CRISP-DM para segmentación geográfica de una base de datos
pública. Ingeniería, Investigación y Tecnología, 21(1), e00008. https://doi.org/10.22201/fi.25940732e.2020.21n1.008
Frąckiewicz, M.
(2023, August 19). El papel de la computación espacial en la agricultura y la
ganadería. TS2 SPACE. https://ts2.space/es/el-papel-de-la-computacion-espacial-en-la-agricultura-y-la-ganaderia/#gsc.tab=0
González, R. (2022). ¿Calidad o cantidad? Lo que más importa en el Big
Data. Big Data Magazine. https://bigdatamagazine.es/calidad-o-cantidad-lo-que-mas-importa-en-el-big-data
GRAP. (2023). Digitalización y
análisis Big Data en granjas porcinas. Recuperado de https://www.grap.udl.cat/es/recerca/linies-de-recerca/digitalitzacio-i-analisi-big-data-en-granges-porcines/
Himeur, Y., Elnour, M., Fadli, F., Meskin, N., Petri, I., Rezgui,
Y., Bensaali, F., & Amira, A. (2022). AI-big data analytics for building automation and
management systems: a survey, actual challenges and future perspectives.
Artificial Intelligence Review, 56(6), 4929–5021. https://doi.org/10.1007/s10462-022-10286-2
IBM. (2023). CRISP-DM: Cross-Industry Standard Process
for Data Mining. Guía para la Minería de Datos. Disponible en https://www.ibm.com/docs/es/spss-modeler/saas?topic=dm-crisp-help-overview.
Instituto de Ingeniería del Conocimiento. (2021, January 21). Machine Learning y Deep Learning - Expertos en IIC. Instituto De Ingeniería Del Conocimiento. https://www.iic.uam.es/inteligencia-artificial/machine-learning-deep-learning/
Paz, A. (2023, March 29). Calidad de Datos: Cómo Asegurar la Precisión y
Confiabilidad en tu Información - Estrategia Uno. Estrategia Uno. https://estrategia.uno/calidad-de-datos-precision-y-confiabilidad/
Pérez, A. (2021, September 20). Inteligencia
artificial y gestión de calidad. OBS
Business School. https://www.obsbusiness.school/blog/inteligencia-artificial-y-gestion-de-calidad
profesorDATA. (2022, January 21). Reducción de la dimensionalidad: Análisis de
Componentes Principales (PCA). profesorDATA.com. https://profesordata.com/2020/09/01/reduccion-de-la-dimensionalidad-analisis-de-componentes-principales-pca/
Ramírez-Morales, I., Mazon-Olivo, B., &
Pan, A. (2018). Ciencia de datos en el sector agropecuario. En Análisis de datos agropecuarios (pp.
1-44). Machala, Ecuador: Editorial UTMACH. https://doi.org/10.48190/9789942241207.1
Reyes, V. (2018). Revista de los Estudios de Ciencias de la Información
y de la Comunicación. Dianet. https://dialnet.unirioja.es/servlet/articulo?codigo=7472358
Sunil, C. K., Jaidhar, C. D., & Patil, N.
(2023). Systematic study on deep
learning-based plant disease detection or classification. Artificial Intelligence Review,
56(12), 14955–15052. https://doi.org/10.1007/s10462-023-10517-0